• 1 клас
    • Англійська мова
    • Іспанська мова
    • Математика
    • Мистецтво
    • Німецька мова
    • Я досліджую світ
  • 2 клас
    • Англійська мова
    • Математика
    • Німецька мова
    • Українська мова
    • Я досліджую світ
  • 3 клас
    • Англійська мова
    • Математика
    • Німецька мова
    • Русский язык
    • Українська мова
    • Я досліджую світ
  • 4 клас
    • Англійська мова
    • Інформатика
    • Математики
    • Німецька мова
    • Основи здоров'я
    • Природознавство
    • Русский язык
    • Українська література
    • Українська мова
    • Французька мова
    • Я досліджую світ
  • 5 клас
    • Англійська мова
    • Зарубіжна література
    • Інформатика
    • Історія
    • Математика
    • Німецька мова
    • Пізнаємо природу
    • Русский язык
    • Українська література
    • Українська мова
  • 6 клас
    • Англійська мова
    • Біологія
    • Географія
    • Етика
    • Зарубіжна література
    • Здоров’я, безпека
    • Інформатика
    • Історія
    • Математика
    • Німецька мова
    • Пізнаємо природу
    • Українська література
    • Українська мова
  • 7 клас
    • Алгебра
    • Англійська мова
    • Біологія
    • Географія
    • Геометрія
    • Зарубіжна література
    • Здоров’я, безпека
    • Інформатика
    • Історія
    • Математика
    • Німецька мова
    • Українська література
    • Українська мова
    • Фізика
    • Французька мова
    • Хімія
  • 8 клас
    • Алгебра
    • Англійська мова
    • Біологія
    • Географія
    • Геометрія
    • Громадянська освіта
    • Зарубіжна література
    • Здоров’я, безпека
    • Інформатика
    • Історія України
    • Математика
    • Німецька мова
    • Основи здоров'я
    • Підприємництво
    • Українська література
    • Українська мова
    • Фізика
    • Французька мова
    • Хімія
  • 9 клас
    • Алгебра
    • Англійська мова
    • Біологія
    • Географія
    • Геометрія
    • Інформатика
    • Історія
    • Німецька мова
    • Українська література
    • Українська мова
    • Фізика
    • Хімія
  • 10 клас
    • Алгебра
    • Англійська мова
    • Біологія
    • Географія
    • Геометрія
    • Інформатика
    • Історія
    • Математика
    • Німецька мова
    • Основи здоров'я
    • Українська література
    • Українська мова
    • Фізика
    • Хімія
  • 11 клас
    • Інформатика
    • Алгебра
    • Англійська мова
    • Біологія
    • Географія
    • Геометрія
    • Історія України
    • Математика
    • Німецька мова
    • Українська література
    • Українська мова
    • Фізика
    • Хімія


ГДЗ / ГДЗ Алгебра 8 клас Істер 2021 / Вправи 601 - 700 / 688

Вправи 601 - 700 » 686





« 685
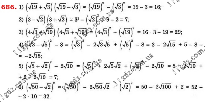
686
687 »
Повідомити про помилку




Вправи 601 - 700

601
602
603
604
605
606
607
608
609
610
611
612
613
614
615
616
617
618
619
620
621
622
623
624
625
626-627
628
629
630
631
632
633
634
635
636
637
638
639
640
641
642
643
644
645
646
647
648
649
650
651
652
653
654
655
656
657
658
659
660
661
662
663
664
665
666
667
668
669
670
671
672
673
674
675
676
677
678
679
680
681
682
683
684
685
686
687
688
689
690
691
692
693
694
695
696
697
698
699
700
11GDZ © 2018-2026. Решебники, ГДЗ, відповіді. Всі права захищені.
  • Правила
  • Контакти