Тема 3 » 11





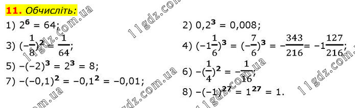
Обчисліть: 1) 26 = 64; 3) (–1/8)2 = 1/64; 5) –(–2)3 = 23 = 8; 7) –(–0,1)2 = –0,12 = –0,01; 2) 0,23 = 0,008; 4) (–11/6)3 = (–7/6)3 = –343/216= –1127/216; 6) –(1/4)2 = –1/16; 8) –(–1)27 = 127 = 1.





Тема 3