• 1 клас
    • Англійська мова
    • Іспанська мова
    • Математика
    • Мистецтво
    • Німецька мова
    • Я досліджую світ
  • 2 клас
    • Англійська мова
    • Математика
    • Німецька мова
    • Українська мова
    • Я досліджую світ
  • 3 клас
    • Англійська мова
    • Математика
    • Німецька мова
    • Русский язык
    • Українська мова
    • Я досліджую світ
  • 4 клас
    • Англійська мова
    • Інформатика
    • Математики
    • Німецька мова
    • Основи здоров'я
    • Природознавство
    • Русский язык
    • Українська література
    • Українська мова
    • Французька мова
    • Я досліджую світ
  • 5 клас
    • Англійська мова
    • Зарубіжна література
    • Інформатика
    • Історія
    • Математика
    • Німецька мова
    • Пізнаємо природу
    • Русский язык
    • Українська література
    • Українська мова
  • 6 клас
    • Англійська мова
    • Біологія
    • Географія
    • Етика
    • Зарубіжна література
    • Здоров’я, безпека
    • Інформатика
    • Історія
    • Математика
    • Німецька мова
    • Пізнаємо природу
    • Українська література
    • Українська мова
  • 7 клас
    • Алгебра
    • Англійська мова
    • Біологія
    • Географія
    • Геометрія
    • Зарубіжна література
    • Здоров’я, безпека
    • Інформатика
    • Історія
    • Математика
    • Німецька мова
    • Українська література
    • Українська мова
    • Фізика
    • Французька мова
    • Хімія
  • 8 клас
    • Алгебра
    • Англійська мова
    • Біологія
    • Географія
    • Геометрія
    • Громадянська освіта
    • Зарубіжна література
    • Здоров’я, безпека
    • Інформатика
    • Історія України
    • Математика
    • Німецька мова
    • Основи здоров'я
    • Підприємництво
    • Українська література
    • Українська мова
    • Фізика
    • Французька мова
    • Хімія
  • 9 клас
    • Алгебра
    • Англійська мова
    • Біологія
    • Географія
    • Геометрія
    • Інформатика
    • Історія
    • Німецька мова
    • Українська література
    • Українська мова
    • Фізика
    • Хімія
  • 10 клас
    • Алгебра
    • Англійська мова
    • Біологія
    • Географія
    • Геометрія
    • Інформатика
    • Історія
    • Математика
    • Німецька мова
    • Основи здоров'я
    • Українська література
    • Українська мова
    • Фізика
    • Хімія
  • 11 клас
    • Інформатика
    • Алгебра
    • Англійська мова
    • Біологія
    • Географія
    • Геометрія
    • Історія України
    • Математика
    • Німецька мова
    • Українська література
    • Українська мова
    • Фізика
    • Хімія


ГДЗ / ГДЗ Алгебра 7 клас Мерзляк 2015 / Вправи № 501 - 752 / 723

Вправи № 501 - 752 » 626





« 624-625
626
627 »
Повідомити про помилку




Вправи № 501 - 752

501
502
503
504
505
506-507
508
509
510
511
512
513
514
515 (1-2)
515 (3-4)
516
517-518
519
520
521
522
523
524
525
526
527
528
529
530
531
532
533-534
535
536
537
538 (1-4)
538 (5-6)
539
540
541
542
543
544
545
546
547
548 (1-2)
548 (3-4)
549
550
551
552
553
554
555
556
557
558
559
560
561
562
563
564-565
566
567-568
569
570
571
572
573
574
575
576-577
578
579
580
581
582
583
584
585
586 (1-2)
586 (3)
587
588
589
590
591
592
593
594
595
596
597-598
599
600
601
602
603
604
605-606
607-608
609
610
611
612
613
614
615
616
617
618
619
620
621
622
623
624-625
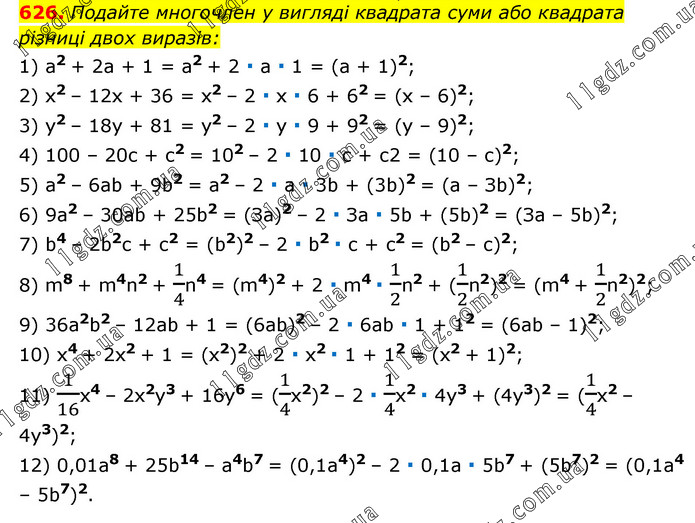
626
627
628
629
630
631
632
633
634
635
636-637
638
639
640
641
642
643
644
645
646
647
648
649
650
651
652-653
654
655
656
657
658
659
660-661
662
663
664
665
666
667
668-669
670
671-672
673
674
675-676
677
678
679
680
681
682
683
684
685
686
687
688
689
690
691
692
693
694
695
696
697
698
699-700
701
702
703
704
705
706
707
708
709
710
711-712
713
714-715
716
717
718
719
720
721
722
723
724
725 (1-4)
725 (5-8)
726 (1-4)
726 (5-6)
727
728
729
730
731
732
733
734
735
736
737
738
739
740
741
742
743
744
745-746
747-748
749
750
751
752
11GDZ © 2018-2026. Решебники, ГДЗ, відповіді. Всі права захищені.
  • Правила
  • Контакти