ГДЗ
/
ГДЗ Алгебра 7 клас Кравчук 2015
/
Завдання для самоперевірки
/
§4 (10)
Завдання для самоперевірки » §2 (10-11)
« §2 (1-9)
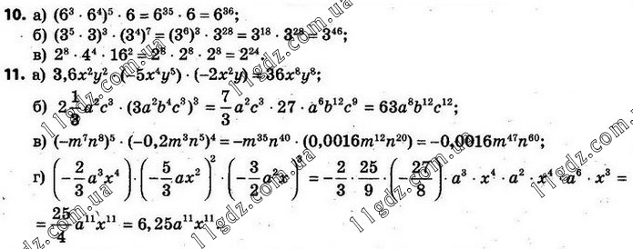
§2 (10-11)
§2 (12-14) »
Повідомити про помилку
Завдання для самоперевірки
§1 (1-8)
§1 (9-13)
§1 (14-15)
§1 (16-17)
§2 (1-9)
§2 (10-11)
§2 (12-14)
§2 (15)
§2 (16-17)
§3 (1-12)
§3 (13-17)
§3 (18-20)
§3 (21)
§4 (1-9)
§4 (10)
§5 (1-12)
§5 (13-17)
§5 (18-19)
§5 (20)
§6 (1-9)
§6 (10-12)
§6 (13-14)
§6 (15)
§6 (16-17)
§7 (1-5)
§7 (6-7)
§7 (8-10)
§7 (11-13)
§7 (14-15)
§7 (16-18)
§7 (19-20)