ГДЗ
/
ГДЗ Алгебра 7 клас Кравчук 2015
/
§ 6. ЛІНІЙНІ РІВНЯННЯ З ОДНІЄЮ ЗМІННОЮ
/
787
§ 6. ЛІНІЙНІ РІВНЯННЯ З ОДНІЄЮ ЗМІННОЮ » 777
« 776
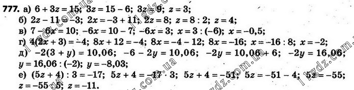
777
778 »
Повідомити про помилку
§ 6. ЛІНІЙНІ РІВНЯННЯ З ОДНІЄЮ ЗМІННОЮ
770-772
774
775
776
777
778
779
780-781
782
783
784
785
786
787
788
789
790
791
792
793-794
795
796
797
798
799
800
801
802
803
804-808
809
810
811
812
813
814
815
816
817
818
819
820
821
822
823
824
825
826
827
828
829
830
831
832
833
834
835
836
837
838
839
840
841
842
843
844
845
846
847
848-852
853
854
855-857
858
859
860
861
862
863
864
865
866
867
868
869