• 1 клас
    • Англійська мова
    • Іспанська мова
    • Математика
    • Мистецтво
    • Німецька мова
    • Я досліджую світ
  • 2 клас
    • Англійська мова
    • Математика
    • Німецька мова
    • Українська мова
    • Я досліджую світ
  • 3 клас
    • Англійська мова
    • Математика
    • Німецька мова
    • Русский язык
    • Українська мова
    • Я досліджую світ
  • 4 клас
    • Англійська мова
    • Інформатика
    • Математики
    • Німецька мова
    • Основи здоров'я
    • Природознавство
    • Русский язык
    • Українська література
    • Українська мова
    • Французька мова
    • Я досліджую світ
  • 5 клас
    • Англійська мова
    • Зарубіжна література
    • Інформатика
    • Історія
    • Математика
    • Німецька мова
    • Пізнаємо природу
    • Русский язык
    • Українська література
    • Українська мова
  • 6 клас
    • Англійська мова
    • Біологія
    • Географія
    • Етика
    • Зарубіжна література
    • Здоров’я, безпека
    • Інформатика
    • Історія
    • Математика
    • Німецька мова
    • Пізнаємо природу
    • Українська література
    • Українська мова
  • 7 клас
    • Алгебра
    • Англійська мова
    • Біологія
    • Географія
    • Геометрія
    • Зарубіжна література
    • Здоров’я, безпека
    • Інформатика
    • Історія
    • Математика
    • Німецька мова
    • Українська література
    • Українська мова
    • Фізика
    • Французька мова
    • Хімія
  • 8 клас
    • Алгебра
    • Англійська мова
    • Біологія
    • Географія
    • Геометрія
    • Громадянська освіта
    • Зарубіжна література
    • Здоров’я, безпека
    • Інформатика
    • Історія України
    • Математика
    • Німецька мова
    • Основи здоров'я
    • Підприємництво
    • Українська література
    • Українська мова
    • Фізика
    • Французька мова
    • Хімія
  • 9 клас
    • Алгебра
    • Англійська мова
    • Біологія
    • Географія
    • Геометрія
    • Інформатика
    • Історія
    • Німецька мова
    • Українська література
    • Українська мова
    • Фізика
    • Хімія
  • 10 клас
    • Алгебра
    • Англійська мова
    • Біологія
    • Географія
    • Геометрія
    • Інформатика
    • Історія
    • Математика
    • Німецька мова
    • Основи здоров'я
    • Українська література
    • Українська мова
    • Фізика
    • Хімія
  • 11 клас
    • Інформатика
    • Алгебра
    • Англійська мова
    • Біологія
    • Географія
    • Геометрія
    • Історія України
    • Математика
    • Німецька мова
    • Українська література
    • Українська мова
    • Фізика
    • Хімія


ГДЗ / ГДЗ Алгебра 7 клас Мерзляк 2020 / ЗАВДАННЯ «ПЕРЕВІРТЕ СЕБЕ» / №6 (7-8)

ЗАВДАННЯ «ПЕРЕВІРТЕ СЕБЕ» » №5 (5-6)





« №5 (3-4)
№5 (5-6)
№5 (7-8) »
Повідомити про помилку




ЗАВДАННЯ «ПЕРЕВІРТЕ СЕБЕ»

№1 (1)
№1 (2)
№1 (3-5)
№1 (6)
№1 (7)
№1 (8)
№1 (9)
№1 (10)
№1 (11)
№1 (12)
№2 (1-3)
№2 (4-6)
№2 (7-9)
№2 (10-12)
№3 (1-2)
№3 (3-4)
№3 (5-6)
№3 (7-9)
№3 (10)
№3 (11)
№3 (12)
№4 (1)
№4 (2-3)
№4 (4-5)
№4 (6-7)
№4 (8-9)
№4 (10-11)
№4 (12)
№5 (1-2)
№5 (3-4)
№5 (5-6)
№5 (7-8)
№5 (9-10)
№5 (11-12)
№6 (1-2)
№6 (3-4)
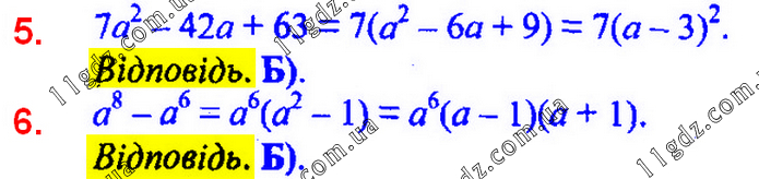
№6 (5-6)
№6 (7-8)
№6 (9-11)
№6 (12)
№7 (1-2)
№7 (3-4)
№7 (5-6)
№7 (7-8)
№7 (9-12)
11GDZ © 2018-2026. Решебники, ГДЗ, відповіді. Всі права захищені.
  • Правила
  • Контакти