• 1 клас
    • Англійська мова
    • Іспанська мова
    • Математика
    • Мистецтво
    • Німецька мова
    • Я досліджую світ
  • 2 клас
    • Англійська мова
    • Математика
    • Німецька мова
    • Українська мова
    • Я досліджую світ
  • 3 клас
    • Англійська мова
    • Математика
    • Німецька мова
    • Русский язык
    • Українська мова
    • Я досліджую світ
  • 4 клас
    • Англійська мова
    • Інформатика
    • Математики
    • Німецька мова
    • Основи здоров'я
    • Природознавство
    • Русский язык
    • Українська література
    • Українська мова
    • Французька мова
    • Я досліджую світ
  • 5 клас
    • Англійська мова
    • Зарубіжна література
    • Інформатика
    • Історія
    • Математика
    • Німецька мова
    • Пізнаємо природу
    • Русский язык
    • Українська література
    • Українська мова
  • 6 клас
    • Англійська мова
    • Біологія
    • Географія
    • Етика
    • Зарубіжна література
    • Здоров’я, безпека
    • Інформатика
    • Історія
    • Математика
    • Німецька мова
    • Пізнаємо природу
    • Українська література
    • Українська мова
  • 7 клас
    • Алгебра
    • Англійська мова
    • Біологія
    • Географія
    • Геометрія
    • Зарубіжна література
    • Здоров’я, безпека
    • Інформатика
    • Історія
    • Математика
    • Німецька мова
    • Українська література
    • Українська мова
    • Фізика
    • Французька мова
    • Хімія
  • 8 клас
    • Алгебра
    • Англійська мова
    • Біологія
    • Географія
    • Геометрія
    • Громадянська освіта
    • Зарубіжна література
    • Здоров’я, безпека
    • Інформатика
    • Історія України
    • Математика
    • Німецька мова
    • Основи здоров'я
    • Підприємництво
    • Українська література
    • Українська мова
    • Фізика
    • Французька мова
    • Хімія
  • 9 клас
    • Алгебра
    • Англійська мова
    • Біологія
    • Географія
    • Геометрія
    • Інформатика
    • Історія
    • Німецька мова
    • Українська література
    • Українська мова
    • Фізика
    • Хімія
  • 10 клас
    • Алгебра
    • Англійська мова
    • Біологія
    • Географія
    • Геометрія
    • Інформатика
    • Історія
    • Математика
    • Німецька мова
    • Основи здоров'я
    • Українська література
    • Українська мова
    • Фізика
    • Хімія
  • 11 клас
    • Інформатика
    • Алгебра
    • Англійська мова
    • Біологія
    • Географія
    • Геометрія
    • Історія України
    • Математика
    • Німецька мова
    • Українська література
    • Українська мова
    • Фізика
    • Хімія


ГДЗ / ГДЗ Алгебра 10 клас Мерзляк / 44. Вправи для повторення курсу алгебри / 44.33 (2)

44. Вправи для повторення курсу алгебри » 44.59 (3-4)





« 44.59 (1-2)
44.59 (3-4)
44.59 (5-6) »
Повідомити про помилку




44. Вправи для повторення курсу алгебри

44.1
44.2
44.3
44.4
44.5
44.6
44.7
44.9-44.10
44.11
44.12 (1-4)
44.12 (5-8)
44.13
44.14
44.15
44.16
44.17
44.18 (1-2)
44.18 (3-4)
44.19
44.20
44.21
44.22
44.23
44.24
44.25 (1)
44.25 (2)
44.26
44.27
44.28
44.29
44.30
44.31 (1-2)
44.31 (3-4)
44.32
44.33 (1)
44.33 (2)
44.34
44.35
44.36 (1)
44.36 (2)
44.37 (1)
44.37 (2)
44.38 (1)
44.38 (2)
44.38 (3-4)
44.40
44.41
44.42
44.43
44.44
44.45
44.46
44.47
44.48
44.49
44.50
44.51
44.52
44.53
44.54
44.55
44.56
44.57
44.58
44.59 (1-2)
44.59 (3-4)
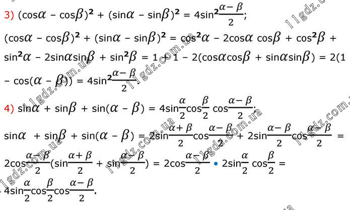
44.59 (5-6)
44.60 (1-2)
44.60 (3-4)
44.61
44.62
44.63 (1)
44.63 (2)
44.64 (1)
44.64 (2)
44.65
44.66
44.67 (1)
44.67 (2)
44.68
44.69 (1)
44.69 (2)
44.70 (1)
44.70 (3)
44.70 (5)
44.70 (6)
44.71 (1)
44.71 (2)
44.72 (1-2)
44.73
44.74
44.75 (1)
44.75 (2)
44.75 (3)
44.75 (4)
44.76 (1)
44.76 (2)
44.76 (3)
44.77 (1)
44.77 (2)
44.78 (1)
44.78 (2)
44.79
44.80
44.81
44.82 (1-2)
44.82 (3-4)
44.83 (1-2)
44.83 (3-4)
44.84 (1)
44.84 (2)
44.84 (3)
44.84 (4-5)
44.84 (6)
44.85 (1)
44.85 (2)
44.86 (1)
44.86 (2)
44.86 (3)
44.86 (4)
44.87
44.88
44.89
44.90
44.91
44.92
44.93
44.94
44.95
44.96
44.97
44.98
44.99 (1-2)
44.99 (3)
44.100
44.101
11GDZ © 2018-2026. Решебники, ГДЗ, відповіді. Всі права захищені.
  • Правила
  • Контакти