ГДЗ
/
ГДЗ Алгебра 10 клас Мерзляк
/
§ 4. Тригонометричні рівняння і нерівності
/
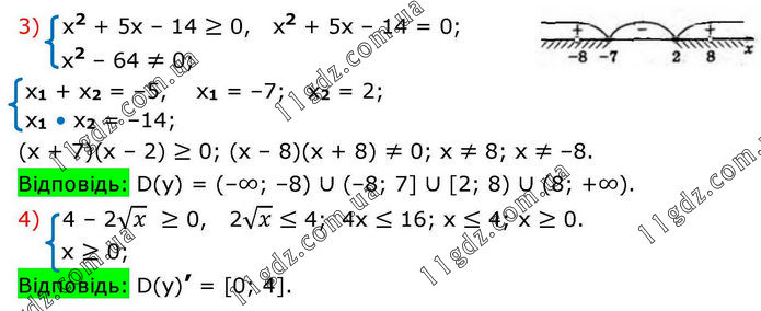
31.2 (4)
§ 4. Тригонометричні рівняння і нерівності » 27.20 (3-4)
« 27.20 (1-2)
27.20 (3-4)
28.1 »
Повідомити про помилку
§ 4. Тригонометричні рівняння і нерівності
27.1
27.2
27.3
27.4
27.5
27.6
27.7
27.8
27.9
27.10 (1)
27.10 (2)
27.11
27.12
27.13
27.14
27.17
27.18
27.19
27.20 (1-2)
27.20 (3-4)
28.1
28.2
28.3
28.4
28.5
28.6
28.7
28.8
28.9
28.10
28.11
28.12
28.13
28.14
28.15 (1)
28.15 (2)
28.15 (3)
28.16 (1)
28.16 (2)
28.20
29.1
29.2
29.3
29.4
29.5
29.6
29.7 (1-2)
29.7 (3)
29.8 (1-2)
29.8 (3)
29.9
29.10
29.11
29.12
29.13
29.14
30.1 (1-2)
30.1 (3)
30.2 (1-2)
30.2 (3)
30.3-30.4
30.5
30.6
30.7
30.8
30.9
30.10
30.11
30.12
30.13
30.14
30.15
30.16 (1-2)
30.16 (3-4)
30.17 (1)
30.17 (3)
30.17 (4)
30.18 (1)
30.18 (3)
30.18 (4)
30.19
30.20
30.21
30.22
30.23
30.24
30.25 (1)
30.25 (2)
30.26 (1)
30.26 (3)
30.27
30.28
30.29 (1-2)
30.29 (3)
30.30 (1-2)
30.30 (3)
30.31
30.32
30.33 (1)
30.33 (2)
30.33 (3)
30.33 (4)
30.34 (1)
30.34 (2)
30.34 (3)
30.34 (4)
30.35 (1)
30.35 (2)
30.36 (1)
30.36 (2)
30.37
30.38
30.39
30.40
30.41
31.1
31.2 (1-3)
31.2 (4)
31.3 (1)
31.3 (2)
31.3 (3)
31.3 (4)
31.3 (5)
31.3 (6)
31.3 (7)
31.3 (8)
31.4 (1)
31.4 (2)
31.4 (3)
31.4 (4)
31.4 (5)
31.4 (6)
31.7 (1)
31.7 (2)
31.7 (3)
31.7 (4)
31.8
31.9 (1)
31.9 (2)
31.9 (3)
31.9 (4)
31.10 (1)
31.10 (2)
31.10 (3)
31.10 (4)
31.11 (1)
31.11 (2)
31.12
31.13 (1)
31.13 (2)
31.14 (1)
31.14 (2)
31.15 (1)
31.15 (2)
31.16 (1)
31.16 (2)
31.17 (1)
31.17 (2)
31.18 (1)
31.18 (2)
31.18 (3)
31.20
31.23 (1)
31.23 (2)
31.24 (1)
31.24 (2)
31.29 (1)
31.29 (2)
31.30 (1)
31.30 (2)
31.31 (1)
31.31 (2)
31.32 (1)
31.32 (2)
32.1
32.2
32.3 (1)
32.3 (2)
32.4
32.5 (1-2)
32.5 (3)
32.5 (4-5)
32.5 (6)
32.6 (1-2)
32.6 (3)
32.6 (4-5)
32.6 (6)
32.7 (1)
32.7 (2)
32.7 (3)
32.7 (4)
32.7 (5)
32.7 (6)
32.8 (1)
32.8 (2)
32.8 (3)
32.8 (4)
32.9 (1)
32.9 (2)
32.9 (3)
32.9 (4)
32.10 (1)
32.10 (2)
32.11 (1)
32.11 (2)
32.12 (1)
32.12 (2)
32.13
32.14 (1)
32.15 (1)
32.15 (2)
32.15 (3)
32.16 (1)
32.16 (2)
32.16 (3)
32.17 (1)
32.17 (2)
32.17 (3)
32.18 (1)
32.18 (2)
32.19 (1)
32.19 (2)
32.20 (1)
32.20 (2)
32.35 (1)
32.35 (2)
32.35 (3)
32.35 (4)
32.36 (1-2)
32.36 (3)
32.37 (1)
32.37 (2)
32.38 (1)
32.38 (2)
32.39 (1)
32.39 (2)
32.40 (1)
32.40 (2)
32.41 (1)
32.41 (2)
32.41 (3)
32.42 (1)
32.42 (2)
32.42 (3)
32.45 (1)
32.45 (2)
32.46 (1)
32.46 (2)
32.46 (3)
33.1 (1)
33.1 (2)
33.1 (3)
33.1 (4)
33.1 (5)
33.1 (6)
33.1 (7)
33.1 (8)
33.1 (9)
33.1 (10)
33.2 (1)
33.2 (2)
33.2 (3)
33.2 (4)
33.2 (5)
33.2 (6)
33.2 (7)
33.2 (8)
33.2 (9)
33.2 (10)
33.3 (1)
33.3 (2)
33.3 (3)
33.3 (4)
33.3 (5)
33.3 (6)
33.4 (1)
33.4 (2)
33.4 (3)
33.4 (4)
33.4 (5)
33.4 (6)
33.5 (1)
33.5 (2)
33.5 (3)
33.5 (4)
33.5 (5)
33.6 (1)
33.6 (2)
33.6 (3)
33.6 (4)
33.6 (5)
33.7 (1)
33.7 (2)
33.8 (1)
33.8 (2)
33.9 (1)
33.9 (2)
33.9 (3)
33.9 (4)
33.10 (1)
33.10 (2)
33.10 (3)
33.10 (4)
33.11 (1)
33.11 (2)
33.11 (3)
33.11 (4)
33.12 (1)
33.12 (2)
33.12 (3)
33.12 (4)