• 1 клас
    • Англійська мова
    • Іспанська мова
    • Математика
    • Мистецтво
    • Німецька мова
    • Я досліджую світ
  • 2 клас
    • Англійська мова
    • Математика
    • Німецька мова
    • Українська мова
    • Я досліджую світ
  • 3 клас
    • Англійська мова
    • Математика
    • Німецька мова
    • Русский язык
    • Українська мова
    • Я досліджую світ
  • 4 клас
    • Англійська мова
    • Інформатика
    • Математики
    • Німецька мова
    • Основи здоров'я
    • Природознавство
    • Русский язык
    • Українська література
    • Українська мова
    • Французька мова
    • Я досліджую світ
  • 5 клас
    • Англійська мова
    • Зарубіжна література
    • Інформатика
    • Історія
    • Математика
    • Німецька мова
    • Пізнаємо природу
    • Русский язык
    • Українська література
    • Українська мова
  • 6 клас
    • Англійська мова
    • Біологія
    • Географія
    • Етика
    • Зарубіжна література
    • Здоров’я, безпека
    • Інформатика
    • Історія
    • Математика
    • Німецька мова
    • Пізнаємо природу
    • Українська література
    • Українська мова
  • 7 клас
    • Алгебра
    • Англійська мова
    • Біологія
    • Географія
    • Геометрія
    • Зарубіжна література
    • Здоров’я, безпека
    • Інформатика
    • Історія
    • Математика
    • Німецька мова
    • Українська література
    • Українська мова
    • Фізика
    • Французька мова
    • Хімія
  • 8 клас
    • Алгебра
    • Англійська мова
    • Біологія
    • Географія
    • Геометрія
    • Громадянська освіта
    • Зарубіжна література
    • Здоров’я, безпека
    • Інформатика
    • Історія України
    • Математика
    • Німецька мова
    • Основи здоров'я
    • Підприємництво
    • Українська література
    • Українська мова
    • Фізика
    • Французька мова
    • Хімія
  • 9 клас
    • Алгебра
    • Англійська мова
    • Біологія
    • Географія
    • Геометрія
    • Інформатика
    • Історія
    • Німецька мова
    • Українська література
    • Українська мова
    • Фізика
    • Хімія
  • 10 клас
    • Алгебра
    • Англійська мова
    • Біологія
    • Географія
    • Геометрія
    • Інформатика
    • Історія
    • Математика
    • Німецька мова
    • Основи здоров'я
    • Українська література
    • Українська мова
    • Фізика
    • Хімія
  • 11 клас
    • Інформатика
    • Алгебра
    • Англійська мова
    • Біологія
    • Географія
    • Геометрія
    • Історія України
    • Математика
    • Німецька мова
    • Українська література
    • Українська мова
    • Фізика
    • Хімія


ГДЗ / ГДЗ Алгебра 10 клас Мерзляк / § 2. Степенева функція / 10.33-10.34

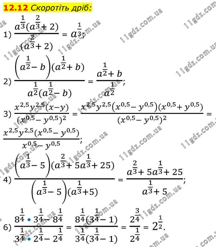
§ 2. Степенева функція » 12.12





« 12.11
12.12
12.16 »
Повідомити про помилку




§ 2. Степенева функція

8.1-8.2
8.3
8.4
8.5
8.6
8.7
8.8
8.9
8.10-8.11
9.1-9.2
9.3
9.4
9.5
9.6
9.7
9.8
9.9
9.10
9.11
9.12
9.13
10.2-10.3
10.4
10.6
10.11
10.12
10.32
10.33-10.34
10.35
11.1
11.2
11.3
11.4
11.5
11.6
11.7
11.8
11.9-11.10
11.11
11.12
11.14-11.15
11.16
11.17
11.18
11.20
11.21
11.22
11.23
11.24
11.25
11.26
11.27
11.28
11.29 (1)
11.29 (2)
11.30
12.1
12.2
12.3
12.4
12.5
12.6
12.7
12.8
12.9
12.10
12.11
12.12
12.16
12.18
12.19 (1)
12.19 (2)
12.20 (1)
12.20 (2)
13.1
13.2
13.3 (1-3)
13.3 (5-6)
13.4
13.5 (1-2)
13.5 (3)
13.5 (4)
13.7
13.8 (1-2)
13.8 (3-4)
13.9
13.10 (1-2)
13.10 (3-4)
13.11 (1)
13.11 (2)
13.12 (1-2)
13.12 (3-4)
13.13
13.14 (1)
13.14 (2)
13.15
13.16
13.17
14.1 (1-2)
14.1 (3)
14.1 (4)
14.2 (1-3)
14.2 (4)
14.3 (1)
14.3 (2)
14.3 (3)
14.3 (4)
14.4 (1-2)
14.4 (3-4)
14.5 (1-2)
14.5 (3)
14.5 (4)
14.6 (1)
14.6 (2)
14.6 (3)
14.7
14.9
14.10
14.12
14.13
14.14
15.1 (1-2)
15.1 (3-4)
15.3 (1-2)
15.3 (3)
15.3 (4)
15.4 (1-2)
15.4 (3)
15.5 (1)
15.5 (2)
15.5 (3)
15.5 (4)
15.6 (1)
15.6 (2)
15.6 (3)
15.6 (4)
15.7
15.8
15.9 (1)
15.9 (3)
15.10 (1)
15.10 (2)
15.10 (3)
15.11 (1)
15.11 (2)
15.12 (1)
15.12 (2)
11GDZ © 2018-2026. Решебники, ГДЗ, відповіді. Всі права захищені.
  • Правила
  • Контакти