ГДЗ
/
ГДЗ Алгебра 10 клас Істер 2018
/
Розділ 5. Границя та неперервність. Похідна
/
36.21
Розділ 5. Границя та неперервність. Похідна » 33.5
« 33.4
33.5
33.6 »
Повідомити про помилку
Розділ 5. Границя та неперервність. Похідна
32.1-2
32.3-4
32.5-6
32.7-8
32.9
32.10
32.11
32.12
32.13
32.14
32.15
32.16
32.17
32.18
32.19
32.20
32.21
32.22
33.1
33.2
33.3
33.4
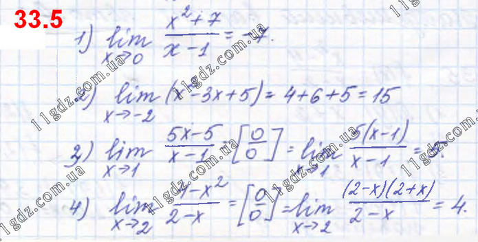
33.5
33.6
33.9
33.10
33.11
33.12
33.17
33.18
33.21
33.22
33.23
33.24
33.25-26
33.27
33.28
33.29
33.30
33.33
33.35
34.1
34.2
34.3
34.4
34.5
34.6
34.7
34.8
34.9
34.10
34.11
34.12
34.13
34.14
34.15
34.16
34.17
34.18
34.19
34.20
34.21
34.22
34.23
34.24
34.25
34.26
34.31
34.32
34.33
34.34
34.35
34.36
35.2
35.3
35.4
35.5
35.6
35.7
35.8
35.9
35.10
35.11
35.12
35.13
35.14
35.15
35.16
35.19
35.20
35.21
35.26
35.27
35.28
35.29
35.30
35.31
35.33
35.34
36.1
36.2
36.3
36.4
36.5
36.6
36.7
36.8
36.9
36.10
36.11
36.12
36.13
36.14
36.15
36.16
36.17
36.18
36.19
36.20
36.21
36.22
36.23
36.24
36.25
36.26
36.27
36.28
36.29
36.30
36.31
36.32
36.33
36.34
36.35
36.36
36.37
36.38
36.39
36.40
36.41
36.42
36.43
36.44
36.45
36.46
36.47
36.48
36.49
36.50
36.51
36.52
36.53
36.54
36.55
36.56
36.57
36.58
36.59
36.60
36.61
36.62
36.63
36.66
37.1
37.2
37.3
37.5
37.6
37.7
37.8
37.9
37.10-11
37.12-13
37.14
37.15
37.16
37.17
37.18
37.19
37.20
37.22
37.23
37.24-25
37.26
37.27
37.28
37.29
37.30
37.31
37.32
37.33
37.34
37.35
37.36
37.37
37.38
37.39
37.40
37.41
37.21(1-2)
38.1
38.2
38.3
38.4
38.5
38.6
38.7
38.8
38.9 (1)
38.9 (2)
38.9 (3)
38.9 (4)
38.9 (5)
38.9 (6)
38.10 (1)
38.10 (2)
38.10 (3)
38.10 (4)
38.10 (5)
38.10 (6)
38.11
38.12
38.13
38.14
38.15 (1)
38.15 (2)
38.15 (3)
38.15 (4)
38.16 (1)
38.16 (2)
38.16 (3)
38.16 (4)
38.17 (1)
38.17 (2)
38.18 (1)
38.18 (2)
38.21 (1)
38.21 (2)
38.21 (3)
38.21 (4)
38.22 (1)
38.22 (2)
38.22 (3)
38.22 (4)
38.23
38.24
38.25
38.26
38.27
38.28
38.29
38.36
38.38-39
39.5
39.6
39.7 (1-3)
39.7 (4)
39.8 (1-3)
39.8 (4)
39.9 (1)
39.9 (2)
39.9 (3)
39.9 (4)
39.10 (1)
39.10 (2)
39.10 (3)
39.10 (4)
39.11 (1)
39.11 (2)
39.11 (3)
39.11 (4)
39.12 (1)
39.12 (2)
39.12 (3)
39.12 (4)
39.13 (1)
39.13 (2)
39.13 (3)
39.13 (4)
39.14 (1)
39.14 (2)
39.14 (3)
39.14 (4)
39.15
39.16
39.17
39.18
39.19 (1)
39.19 (2)
39.20 (1)
39.20 (2)
39.21
39.22
39.23
39.24
39.25
39.26
39.27
39.28
40.1 (1)
40.1 (2)
40.1 (3)
40.1 (4)
40.2 (1)
40.2 (2)
40.2 (3)
40.2 (4)
40.3 (1)
40.3 (2)
40.4 (1)
40.4 (2)
40.5 (1)
40.5 (2)
40.5 (3)
40.5 (4)
40.6 (1)
40.6 (2)
40.6 (3)
40.6 (4)
40.7 (1)
40.7 (2)
40.8 (1)
40.8 (2)
40.9 (1)
40.10
40.11 (1)
40.11 (2)
40.12 (1)
40.12 (2)
40.13
40.14
40.15
40.16
40.17
40.18
40.19
41.1
41.2
41.3 (1)
41.3 (2)
41.3 (3)
41.3 (4)
41.4 (1)
41.4 (2)
41.4 (3)
41.4 (4)
41.5
41.6
41.7
41.8
41.9 (1)
41.9 (2)
41.9 (3)
41.9 (4)
41.10 (1)
41.10 (2)
41.10 (3)
41.10 (4)
41.11
41.12
41.13
41.14
41.15 (1)
41.15 (2)
41.16 (1)
41.16 (2)
41.17
41.18
41.19
41.20
41.21 (1)
41.21 (2)
41.22 (1)
41.22 (2)
41.23
41.24
41.25
41.26
41.27 (1)
41.27 (2)
41.28 (1)
41.28 (2)
41.29
41.30
41.31
41.32
41.33
41.34
41.35
41.36
41.37
41.38
41.39 (1)
41.39 (2)
41.40
41.41
41.42
41.43
41.44
41.45
42
42.4
42.7
42.8
42.9
42.10
42.11
42.12
42.13
42.14
42.2(1)
42.2(2)
42.3(1)
42.3(2)
42.5(1)
42.5(2)
42.5(3)
42.5(4)
42.6(1)
42.6(2)
42.6(3)
42.6(4)
43.1
43.2
43.3
43.4
43.5
43.6
43.7
43.8
43.11
43.12
43.9(1)
43.9(2)
43.10(1)
43.10(2)
44.1
44.2
44.3
44.4
44.5
44.6
44.7
44.8
44.9
44.10
44.11
44.12
44.13
44.15
44.16
44.18
44.19
44.14(1)
44.14(2)
44.17(1-5)
44.17(6)
44.17(7)