ГДЗ
/
ГДЗ Алгебра 10 клас Істер 2018
/
Розділ 3. Тригонометричні функції
/
19.19
Розділ 3. Тригонометричні функції » 25.28
« 25.27
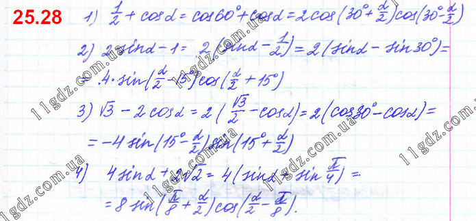
25.28
25.29 »
Повідомити про помилку
Розділ 3. Тригонометричні функції
17.2
17.3
17.4
17.5
17.6
17.7
17.8
17.9
17.10
17.11
17.12
17.13
17.14
17.15
17.16
17.17
17.18
17.21
17.22
17.23
17.24
17.25
17.26
17.27
17.28
17.29
17.30
17.35
17.36
17.37
17.40
17.42
18.1
18.2
18.3
18.4
18.5
18.6
18.7
18.8
18.9
18.10
18.11
18.12
18.13
18.14
18.15
18.18
18.19
18.20
18.21
18.22
18.23
18.24
18.25
18.26
18.27
18.31
18.32
18.33
18.34
18.35
18.36
18.41
18.42
18.43
18.44
18.45
19.2
19.3
19.4
19.5
19.6
19.7
19.8
19.9
19.10
19.11
19.12
19.13
19.14
19.15
19.16
19.17
19.18
19.19
19.20
19.21
19.22
19.23
19.24
19.25
19.26
19.27
19.28
19.29
19.30
19.31
19.32
19.33
19.35
19.36
19.37
19.38
19.53 (1)
19.53 (2)
19.54
20.1
20.2
20.3
20.4
20.5
20.6
20.7
20.8
20.9
20.10
20.11
20.12
20.13
20.14
20.15
20.16
20.17
20.20
20.21
20.22
20.23
20.24
20.25
20.26
20.27
20.28
20.29
20.30
20.31
20.32
20.33
20.34
20.35
20.36
20.37
20.38
20.39
20.41
20.56
20.58
20.59
21.1
21.2
21.3
21.4
21.5
21.6
21.7
21.8
21.9
21.10
21.11
21.12
21.13
21.14
21.15
21.16
21.17
21.18
21.19
21.20
21.21
21.22
21.23
21.24
21.25
21.26
21.27
21.28
21.41
21.42
21.43
22.1
22.2
22.4
22.5
22.6
22.7
22.8
22.11
22.12
22.13
22.17
22.18
22.21
22.24
22.25
22.26
22.27
22.28
22.29
22.30
22.31
22.32
22.33
22.34
22.48
22.49
22.51
22.52
23.1-4
23.5
23.6
23.7
23.8
23.9
23.10
23.11
23.12
23.13
23.14
23.15
23.16
23.17
23.18
23.19
23.20
23.21
23.22
23.23
23.24
23.25
23.26
23.27
23.28
23.29
23.30
23.31
23.32
23.33
23.34
23.35
23.36
23.37
23.39
23.40
23.41
23.42
23.60
23.62 (1)
23.62 (2)
24.1
24.2
24.3
24.4
24.5
24.6
24.7
24.8
24.9
24.10
24.11
24.12
24.13
24.14
24.15
24.16
24.17
24.18
24.19
24.20
24.25
24.26
24.27
24.28
24.29
24.30
24.31
24.32
24.33
24.34
24.35
24.36
24.39
24.40
24.41
24.42
24.45
24.46
24.47
24.49
24.67
24.69
24.70
25.1-2
25.3
25.4
25.5
25.6
25.7
25.8
25.9
25.10
25.11
25.12
25.13
25.14
25.15
25.16
25.17
25.18
25.19
25.20
25.21
25.22
25.23
25.24
25.25
25.26
25.27
25.28
25.29
25.30
25.31
25.32
25.33
25.34
25.35
25.36
25.37
25.38
25.39
25.40
25.43
25.44
25.54