• 1 клас
    • Англійська мова
    • Іспанська мова
    • Математика
    • Мистецтво
    • Німецька мова
    • Я досліджую світ
  • 2 клас
    • Англійська мова
    • Математика
    • Німецька мова
    • Українська мова
    • Я досліджую світ
  • 3 клас
    • Англійська мова
    • Математика
    • Німецька мова
    • Русский язык
    • Українська мова
    • Я досліджую світ
  • 4 клас
    • Англійська мова
    • Інформатика
    • Математики
    • Німецька мова
    • Основи здоров'я
    • Природознавство
    • Русский язык
    • Українська література
    • Українська мова
    • Французька мова
    • Я досліджую світ
  • 5 клас
    • Англійська мова
    • Зарубіжна література
    • Інформатика
    • Історія
    • Математика
    • Німецька мова
    • Пізнаємо природу
    • Русский язык
    • Українська література
    • Українська мова
  • 6 клас
    • Англійська мова
    • Біологія
    • Географія
    • Етика
    • Зарубіжна література
    • Здоров’я, безпека
    • Інформатика
    • Історія
    • Математика
    • Німецька мова
    • Пізнаємо природу
    • Українська література
    • Українська мова
  • 7 клас
    • Алгебра
    • Англійська мова
    • Біологія
    • Географія
    • Геометрія
    • Зарубіжна література
    • Здоров’я, безпека
    • Інформатика
    • Історія
    • Математика
    • Німецька мова
    • Українська література
    • Українська мова
    • Фізика
    • Французька мова
    • Хімія
  • 8 клас
    • Алгебра
    • Англійська мова
    • Біологія
    • Географія
    • Геометрія
    • Громадянська освіта
    • Зарубіжна література
    • Здоров’я, безпека
    • Інформатика
    • Історія України
    • Математика
    • Німецька мова
    • Основи здоров'я
    • Підприємництво
    • Українська література
    • Українська мова
    • Фізика
    • Французька мова
    • Хімія
  • 9 клас
    • Алгебра
    • Англійська мова
    • Біологія
    • Географія
    • Геометрія
    • Інформатика
    • Історія
    • Німецька мова
    • Українська література
    • Українська мова
    • Фізика
    • Хімія
  • 10 клас
    • Алгебра
    • Англійська мова
    • Біологія
    • Географія
    • Геометрія
    • Інформатика
    • Історія
    • Математика
    • Німецька мова
    • Основи здоров'я
    • Українська література
    • Українська мова
    • Фізика
    • Хімія
  • 11 клас
    • Інформатика
    • Алгебра
    • Англійська мова
    • Біологія
    • Географія
    • Геометрія
    • Історія України
    • Математика
    • Німецька мова
    • Українська література
    • Українська мова
    • Фізика
    • Хімія


ГДЗ / ГДЗ Алгебра 10 клас Істер 2018 / Розділ 1. функції, многочлени, рівняння / 2.28

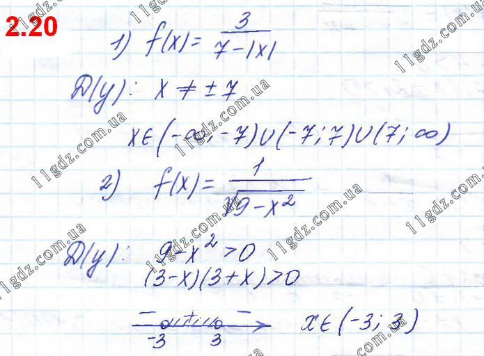
Розділ 1. функції, многочлени, рівняння » 2.20 (1-2)





« 2.19
2.20 (1-2)
2.20 (3-4) »
Повідомити про помилку




Розділ 1. функції, многочлени, рівняння

2.2
2.3
2.5
2.6
2.10
2.11
2.12
2.13
2.14
2.15
2.18
2.19 (4-5)
2.19 (6-8)
2.19
2.20 (1-2)
2.20 (3-4)
2.20 (5-6)
2.21
2.22
2.23
2.26
2.27
2.28
2.29
2.33 (1-3)
2.33 (4-5)
2.33 (8)
2.34
2.36
2.38 (1)
2.38 (2)
2.38 (3-4)
2.38 (5)
2.38 (6)
2.39
2.40
3.3
3.4
3.5
3.6
3.8
3.9
3.10
3.11
3.12 (1)
3.12 (2)
3.15
3.16
3.17
3.18
3.25 (1-3)
3.25 (4-6)
3.25 (7-8)
3.25 (9-10)
3.25 (11-12)
3.26 (1-3)
3.26 (4-5)
3.26 (6-7)
3.26 (8-9)
3.27
3.28
3.29
3.36 (1-2)
3.36 (3-4)
3.37 (1-2
3.37 (3-4)
3.38 (1-2)
3.38 (3-4)
3.46
4.9 (1)
4.9 (2)
4.9 (3)
4.9 (4)
4.9 (5)
4.9 (6)
4.10 (2)
4.10 (3)
4.10 (4)
4.10
4.16
4.17
4.18
4.19
4.31 (1)
4.31 (2)
4.32
4.37 (1-2)
4.37 (3)
4.37 (4)
4.38 (1)
4.38 (2-3)
4.38 (4)
11GDZ © 2018-2026. Решебники, ГДЗ, відповіді. Всі права захищені.
  • Правила
  • Контакти